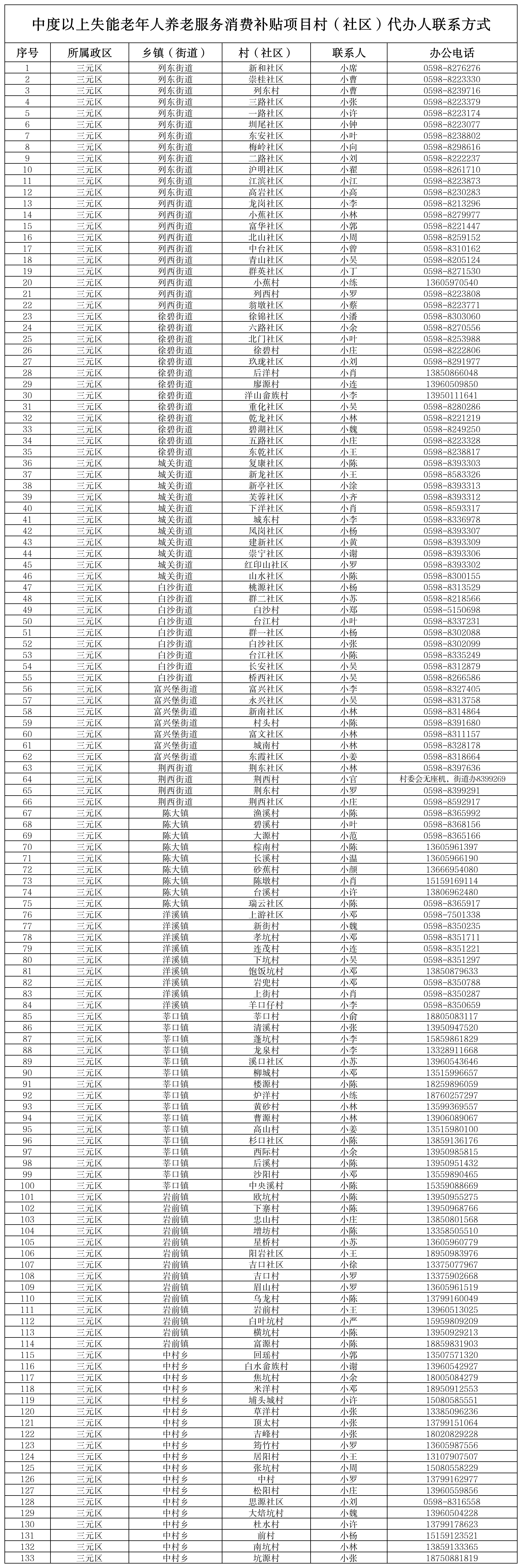
三元区民政局公布中度以上失能老年人养老服务消费补贴项目村(社区)代办人联系方式
根据《关于动员村(社区)“两委”协助实施向中度以上失能老年人发放养老服务消费补贴项目的通知》要求,为切实做好辖区中度以上失能老年人养老服务消费补贴发放工作,方便群众咨询政策、办理相关事宜,现公布我区各村(社区)该项工作代办人联系方式。
各村(社区)“两委”将同步开展补贴政策宣传、中度以上失能老年人需求摸排等工作,切实保障符合条件老年人的合法权益。如有相关问题咨询、业务代办需求,请及时与所在村(社区)代办人联系。
扫一扫在手机上查看当前页面


闽公网安备号: